¸Þ´º°æ·Î ¹æÇâ Ç¥½Ã
  • ·Î±×ÀÎ
  • Àüü¸Þ´º

ÀÚµ¿·Î±×¾Æ¿ô¾È³»

ÀÚµ¿ ·Î±×¾Æ¿ô ³²Àº ½Ã°£ : 30ÃÊ

°í°´´ÔÀÇ ¾ÈÀüÇÑ Á¤º¸º¸¾ÈÀ» À§ÇØ ·Î±×ÀÎ ÈÄ ¾à10ºÐµ¿¾È ¼­ºñ½º ÀÌ¿ëÀÌ ¾ø¾î ÀÚµ¿ ·Î±×¾Æ¿ô µË´Ï´Ù. ·Î±×ÀÎ ½Ã°£À» ¿¬ÀåÇϽðڽÀ´Ï±î?

ÀÚµ¿·Î±×¾Æ¿ô¾È³»

°í°´´ÔÀÇ ¾ÈÀüÇÑ Á¤º¸º¸¾ÈÀ» À§ÇØ ·Î±×ÀÎ ÈÄ ¾à10ºÐµ¿¾È ¼­ºñ½º ÀÌ¿ëÀÌ ¾ø¾î ÀÚµ¿ ·Î±×¾Æ¿ô µÇ¾ú½À´Ï´Ù.

º¸µµÀÚ·á

Home > ÀÇ·á¿øPR > º¸µµÀÚ·á
  • Àþ¾î¼­ ´ëÀå¾Ï À̰ܳ½ ÁÙ ¾Ë¾Ò´õ´Ï¡¦Á¤´äÀº ²ÙÁØÇÑ Ç×¾ÏÄ¡·á
³¯Â¥ :
µ¿Åº/2023.07.05
Á¶È¸¼ö :
2766

³»¿ë

  • Àþ¾î¼­ ´ëÀå¾Ï À̰ܳ½ ÁÙ ¾Ë¾Ò´õ´Ï¡¦Á¤´äÀº ²ÙÁØÇÑ Ç×¾ÏÄ¡·á
    - ÇѸ²´ëµ¿Åº¼º½Éº´¿ø ¿Ü°ú ±èÁ¾¿Ï ±³¼ö ¿¬±¸ÆÀ, °í·É vs ÀþÀº ´ëÀå¾ÏȯÀÚ ¿¹ÈÄ ºÐ¼®
    - ÀþÀº ±×·ì, ´õ µ¶ÇÑ ´ëÀå¾Ï °É·ÈÁö¸¸ ²ÙÁØÇÑ Ç×¾ÏÄ¡·á °á°ú 5³â »ýÁ¸À² 12.5%p¡è

    ´ëÀå¾ÏÀº »ç¸Á·üÀÌ µÎ ¹øÂ°·Î ³ôÀº ¾ÏÀ¸·Î, Àü¼¼°èÀûÀ¸·Î ¸Å³â ¾à 94¸¸¸íÀÌ ´ëÀå¾ÏÀ¸·Î »ç¸ÁÇϰí ÀÖ°í, ÀþÀº ´ëÀå¾Ï ȯÀÚ ¼öµµ ´Ã¾î°¡°í ÀÖ´Ù. ¾óÇÍ »ý°¢Çϱ⿡´Â ȯÀÚÀÇ ³ªÀ̰¡ ÀþÀ»¼ö·Ï ¾Ï Ä¡·áÀÇ ¼º°ø·üÀÌ ³ôÀ» °Í °°´Ù. ±×·¯³ª ¼º°øÀûÀ¸·Î ¾ÏÀ» Ä¡·áÇϱâ À§Çؼ­´Â ÀþÀ½¸¸ ¹Ï±âº¸´Ù´Â Ç×¾ÏÄ¡·á¸¦ ²ÙÁØÈ÷ ¹Þ´Â °ÍÀÌ ¸Å¿ì Áß¿äÇÏ´Ù´Â ¿¬±¸°á°ú°¡ ³ª¿Ô´Ù.

    ÇѸ²´ëÇб³µ¿Åº¼º½Éº´¿ø ¿Ü°ú ±èÁ¾¿Ï ±³¼ö ¿¬±¸ÆÀÀº ¡®ÀþÀº ¼ºÀÎ ´ëÀå¾Ï ȯÀÚÀÇ ÀÓ»óº´¸®ÇÐÀû Ư¼º°ú Ç×¾ÏÄ¡·á°¡ ¿¹ÈÄ¿¡ ¹ÌÄ¡´Â ¿µÇâ(A Retrospective Multicenter Study of the Clinicopathological Characteristics and Prognosis of Young Adult Patients with Colorectal Cancer: Effects of Chemotherapy on Prognosis)¡¯ ¿¬±¸¿¡¼­ ÀÌ °°Àº ³»¿ëÀ» È®ÀÎÇß´Ù. ÀÌ ³í¹®Àº ±¹Á¦ÀûÀ¸·Î ±ÇÀ§ ÀÖ´Â SCIE±Þ ÇмúÁöÀÎ ¡®ÀÓ»óÀÇÇÐÀú³Î(Journal of Clinical Medicine, IF(ÀοëÁö¼ö): 4.964)¡¯ ÃÖ±ÙÈ£¿¡ °ÔÀçµÆ´Ù.

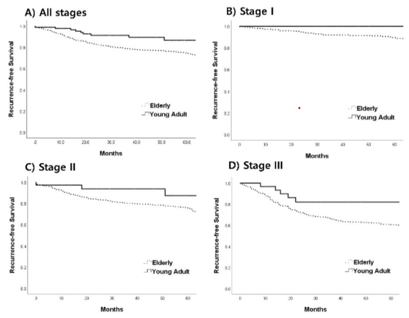
    ¿¬±¸ÆÀÀº ´ëÀå¾Ï 0~3±â Áø´ÜÀ» ¹ÞÀº 45¼¼ ÀÌÇÏ ÀþÀº ȯÀÚ 93¸í°ú 45¼¼°¡ ³Ñ´Â °í·ÉȯÀÚ 1899¸íÀÇ Ä¡·á ÈÄ »ýÁ¸À²À» ºÐ¼®Çß´Ù. ÀþÀº ´ëÀå¾Ï ȯÀÚÀÇ Æò±Õ ¿¬·ÉÀº 38.8¼¼¿´°í, °í·É ´ëÀå¾Ï ȯÀÚÀÇ Æò±Õ ¿¬·ÉÀº 67.7¼¼¿´´Ù.

    ÀþÀº ´ëÀå¾Ï ȯÀÚ, ¾Ç¼ºµµ ³ô°í ÀÀ±Þ¼ö¼ú ¸¹¾Æ
    µÎ ±×·ì Áß ¾ÏÀÇ Æ¯Â¡Àº ÀþÀº ȯÀÚ ±×·ìÀÌ °í·ÉȯÀÚ ±×·ìº¸´Ù ´õ ³ª»¦´Ù. º´¸®ÇÐÀû ºÐ¼®¿¡¼­ Á¶Á÷ÇÐÀûÀ¸·Î ¾Ç¼ºµµ°¡ ³ôÀº ¾ÏÀÇ ºñÀ²Àº ÀþÀº ȯÀÚ ±×·ìÀÌ 11.8%·Î °í·ÉȯÀÚ ±×·ì 5.4%º¸´Ù ³ô¾Ò´Ù. ¸²ÇÁÇ÷°ü°ú ½Å°æÁÖÀ§ ħ½À ºñÀ²µµ °¢°¢ 45.2% ´ë 38.8%, 26.9% ´ë 18.7%·Î ³ªÅ¸³ª, ÀþÀº ȯÀÚ ±×·ìÀÌ ´õ ³ª»Û ¾ÏÀ¸·Î Áø´ÜµÆ´Ù.

    °Ô´Ù°¡ ÀþÀº ȯÀÚ ±×·ìÀº Á¾¾çÀÌ ´ëÀåÀ» ¸·¾Æ »ý±â´Â Àå Æó¼â(24.7% ´ë 14.2%)¿Í ´ëÀåõ°ø(5.4% ´ë 1.7%)À» °í·ÉȯÀÚ ±×·ìº¸´Ù ´õ ¸¹ÀÌ °Þ¾úÀ¸¸ç ÀÌ·Î ÀÎÇÏ¿© ÀÀ±Þ¼ö¼úÀ» ¹ÞÀº ºñÀ²ÀÌ 16.1%·Î °í·É ȯÀÚ ±×·ì 8.5%º¸´Ù ÄÇ´Ù. º¹Åë?Ç÷º¯?º¯ºñ?üÁߺ¯È­?¼ÒÈ­ºÒ·® µî ´ëÀå¾ÏÀ¸·Î ÀÎÇÑ Áõ»óµµ ÀþÀº ȯÀÚ ±×·ìÀÌ 68.8%·Î °í·ÉȯÀÚ ±×·ì 55.9%º¸´Ù ¸¹ÀÌ °æÇèÇß´Ù. ÀÌ´Â Áõ»óÀÌ ³ªÅ¸³¯ ¶§±îÁö ´ëÀå¾Ï ¹ß°ß°ú Ä¡·á°¡ ´Ê¾îÁ³À½À» ÀǹÌÇÑ´Ù.

    ¹Ý¸é °í·ÉȯÀÚ ±×·ìÀº Á¤±â°ËÁø¿¡¼­ ¾ÏÀ» Áø´Ü¹ÞÀº ºñÀ²ÀÌ 41.3%·Î ÀþÀº ȯÀÚ ±×·ì 32.3%º¸´Ù ³ô¾Ò´Ù.

    ²ÙÁØÇÑ Ç×¾ÏÄ¡·á ¹ÞÀº ÀþÀº ȯÀÚ, Ä¡·á¿¹ÈÄ ÈξÀ ÁÁ¾Æ
    µÎ ±×·ì¿¡¼­ º¹°­°æ¼ö¼ú ºñÀ², ÇÕº´Áõ, ÀÔ¿ø±â°£ µîÀÇ ¿äÀÎÀº À¯ÀǹÌÇÑ Â÷ÀÌ´Â º¸ÀÌÁö ¾Ê¾ÒÁö¸¸, Ç×¾ÏÄ¡·á¸¦ ¹ÞÀº ºñÀ²Àº ÀþÀº ȯÀÚ ±×·ìÀÌ 62.4%·Î °í·ÉȯÀÚ ±×·ì 45.3%º¸´Ù ³ô¾Æ Ä¡·á¿¹ÈÄ¿¡ ÁÖ¿äÇÑ ¿µÇâÀ» ³¢ÃÆ´Ù. ¶Ç °í·ÉȯÀÚ ±×·ì¿¡¼­´Â 20%°¡ Ä¡·á¸¦ ¸¶Ä¡±â Àü Ç×¾ÏÄ¡·á¸¦ Áß´ÜÇßÁö¸¸ ÀþÀº ȯÀÚ ±×·ì¿¡¼­´Â 8.8%¸¸ÀÌ Ç×¾ÏÄ¡·á¸¦ Áß´ÜÇß´Ù. º¹ÇÕÇ×¾ÏÁ¦¸¦ »ç¿ëÇÑ ºñÀ²µµ ÀþÀº ȯÀÚ ±×·ìÀÌ 45.2%·Î °í·ÉȯÀÚ ±×·ì 27%º¸´Ù ÄÇ´Ù.

    ÀÌ·¯ÇÑ °á°ú·Î ÀþÀº ´ëÀå¾Ï ȯÀÚ±×·ìÀº Ä¡·á°¡ ±î´Ù·Î¿î Ư¡ÀÇ ¾ÏÀ» ¾Î¾Ò°í, Áø´Ü°ú Ä¡·á°¡ ´Ê¾îÁ³Áö¸¸ ¿¹ÈÄ´Â ´õ ÁÁ¾Ò´Ù. ¾Ï Ä¡·á ÈÄ ¾ÏÀÌ Àç¹ßÇÏÁö ¾Ê°í »ýÁ¸ÇØ ÀÖ´Â 5³â ¹«Àç¹ß »ýÁ¸À²Àº ÀþÀº ȯÀÚ ±×·ìÀÌ 86.7%·Î °í·ÉȯÀÚ ±×·ì 74.2%º¸´Ù 12.5%p ³ô¾Ò´Ù. ƯÈ÷ º´±â°¡ ³ô¾ÆÁú¼ö·Ï Â÷À̰¡ ¹ú¾îÁ®, 1±â¿¡¼­´Â 100% ´ë 89.5%, 2±â¿¡¼­´Â 87.4% ´ë 75.2%, 3±â¿¡¼­´Â 82% ´ë 60.3%·Î ¹«·Á 21.7%p±îÁö ³ô¾ÆÁ³´Ù.

    ±èÁ¾¿Ï ±³¼ö´Â ¡°À̹ø ¿¬±¸¸¦ ÅëÇØ ÀþÀº ´ëÀå¾Ï ȯÀÚ´Â °í·ÉȯÀÚº¸´Ù Ç×¾ÏÄ¡·á¸¦ ´õ ¸¹ÀÌ, Áß´ÜÇÏÁö ¾Ê°í ¹Þ¾ÒÀ¸¸ç, º¹ÇÕÇ×¾ÏÁ¦¸¦ ´õ ¸¹ÀÌ »ç¿ëÇØ ¹«Àç¹ß »ýÁ¸À²ÀÌ ³ôÀº °ÍÀ¸·Î ³ªÅ¸³µ´Ù¡±¸ç ¡°¿¬·ÉÀÌ ³ôÀ»¼ö·Ï Ç×¾ÏÄ¡·á¿¡ ´ëÇØ °ÅºÎ°¨À» °®´Â °æ¿ì°¡ ¸¹Áö¸¸ Ç×¾ÏÈ­Çпä¹ýÀº ¾ÏÀÇ ¼ºÀåÀ» ¾ïÁ¦Çϰí Å©±â¸¦ ÁÙÀÌ¸ç ¾Ï¼¼Æ÷¸¦ ¿ÏÀüÈ÷ Á¦°ÅÇØ ¿ÏÄ¡¸¦ ±â´ëÇÒ ¼ö ÀÖ°Ô ÇÏ´Â ¸Å¿ì Áß¿äÇÑ Ä¡·á°úÁ¤¡±À̶ó°í °­Á¶Çß´Ù. [³¡]